First post of the year, yay. I hope to improve this year, and that I receive more feedback for this passtime of mine.
Well, last year, finally, Donna Strickland became the third woman to win a Nobel in Physics. And I get the frustration many in the community feel. We continuously praise ourselves as masters of progress and equality, and yet we hardly have any woman involved in our fields? Well, the truth is that women have been involved in physics for quite a long time, specially in modern physics. Besides the aforementioned Strickland, and the fellow prize Winners Maria Goeppert-Mayer, and the juggernaut Marie Curie, we also have great women in physics like Lise Meitner, Chien-Shiung Wu (known in her time as the Queen of Nuclear Research) and the woman I will be talking about, Emmy Noether.
First of all, Amalie Emmy Noether was a German mathematician. A little odd for a mathematician to be in a blog supposedly about physics, but two things. I talk about a lot of things besides physics here, specially when I’m bored. And most important, Noether did huge (read that as “YUGE”) contributions to physics, like mathematicians before and after her, and not only to physics, she also gave contributions to mathematics, particularly in Group Theory, but I am not qualified to discuss that here. Heck, I am barely qualified to talk a bit about physics, imagine the wrong stuff I would say about pure mathematics.
I could talk a bit about all the challenges she probably had gone through specially considering the time period (Let’s just say Europe at that time wasn’t as liberal for women as it is today, and considering that Noether was from a Jewish family, in Germany, again, a lot of missing details), but I am bad at social sciences. I like the fact however that she went past those challenges to be admired by her peers, which included the likes of Einstein, Hilbert and Weyl, as “the most important woman in mathematics” or “Die wichtigste frau in der Mathematik” (according to the almighty Google translate) if we are going to be perfeccionists, I mean, all of the above were German I think. And I want to focus more on the work she actually did, specifically on Noether’s Theorem.
Noether’s theorem talks about two fundamental things in physics: Conservation and Symmetry. Now first, let me go on a tangent here as to why Conservation is so important in physics.
As you may have realized by high school, a lot of things in physics are described by how they change in time. Positions, velocities, forces. You name it. But if we were to analyze things just by how they changed, we would run into many problems (one of these is the inverse problem, of which I will talk about later). So in physics, a trick we usually do is instead of looking at what changes, we look at what is conserved. What is conserved when we change positions, velocities or forces. By knowing what is conserved, we can know what can and cannot happen in our system, which narrows the number of possible solutions. You could say a conserved quantity is kind of a constraint we put in our system (also it allows for some continuity properties, but I will talk about later). I am glossing over a bunch of details but essentially this is the main gist of it. Conservation is a fundamental concept in physics that allows us to accurately describe what occurs in the real world. One could even say that a conservation law is a fundamental law in nature.
Now, I’ve talked a bit about symmetry in the last post about parity, but to recap, in short terms: A symmetry of a physical is a physical property that remains unchanged under some transformation. In the last post, the example we used for transformation was parity and we showed that physical properties represented by general functions f, would be symmetric if

And the function would be anti-symmetric if the opposite was true. Now there are functions that are not symmetric at all, but what we want are functions that have some symmetry (i.e. they are symmetric/anti-symmetric) in some way. Those are what display some sort of symmetry. Now symmetry can also be said to be a fundamental concept in physics, since symmetry allows for generalizations that would be possible otherwise. If would be weird if our physics behaved differently if we were moving in certain directions, as if there was a preferred direction for physics. So there you have it. Now after this crash introduction into conservation and symmetry, let’s talk about Noether’s theorem.
Before, I should clarify one thing. I will talk her first theorem referred to on the article “Invariant Variations Problems, Noether E, 1918” where she proves this particular theorem. There’s also another Noether theorem important in modern physics, mostly used in Gauge Theory. But that is something I don’t understand enough to talk about.
If I want to be informal about it, I could say that what this theorem basically states is: “If there is a property that is symmetric under some transformation, then there is a quantity that is conserved under this same transformation”. And if we don’t want to piss of mathematicians we should say this in a proper way: “To every differentiable symmetry generated by local actions, there corresponds a conserved current” (courtesy of wiki on this one). Let’s break down a bit what is being said here. Symmetries and conservation were already referred to in this post, so I will focus on the other bits. First, about the conserved current, the reason why that appears here is because in physics why express conservation laws through continuity equations (here we go, that continuity again), that are written as:

That is the continuity equation. Essentially when a derivative of some quantity is zero in mathematically, that means the quantity doesn’t change and as such it is a constant. And there implies conservation. What the expression is saying is that if the density of quantity is not changing over time, and the current J is not changing on the space inside of a certain volume V, then it is conserved in that volume. And this general expression is used in many places in physics, a very important case being the continuity equation in Maxwell’s laws of electromagnetism, where the density of quantity conserved is the density of charge and the current is the electrical current. It is not one of the main equations, but the four main Maxwell equations can derive it. In a sense it is a fundamental part or consequence of Maxwell’s equations. Because of the way they are built, they conserve charge. And is the TL;DR of continuity equations.
As for local actions and these symmetries being differentiable, I should do a separate article on Euler-Lagrange Equations. But TL;DR, these equations can describe a system based on changes to the energy in the system rather than changes in forces, and it is used as a method for finding motion equations on system with way to many variables to use forces, like the motion of planets around the Sun, taking neighbouring planets gravitational fields into account. And the action is essentially the total change in energy in the system over a period of time (not exactly, it is actually the integral of the Lagrangian of the system, but the Lagrangian has units of energy, so it is not completely wrong). Usually finding the equations of motion in Lagrangian mechanics means minimizing the action of the system. (It is related to the principle of least action). And the core idea behind Noether theorem shows that if a small change in the variables, a small perturbation in a certain variable is symmetric than a quantity related to that variable, represented by the Lagrangian of the system is preserved.

And that J is the current of the system. The general quantity is conserved regardless of which symmetry you are talking about, but depending on the symmetry that current will be equal to a different quantity. You can tweak around with the quantities and depending which one is symmetric and if you are talking rotations or translation, you can find different symmetries. For example by considering time translation, T is equal to 1 and Q is equal to 0. That quantity that is left over is also defined as the Hamiltonian of the system, which is just the total energy. So by symmetry in time translation, you end up with the total energy of the system being conserved. If you are considering symmetry in translation over one of those generalized coordinates, then Q is equal to 1 and T is equal to 0. The resulting term, is equal to the momentum defined above, so symmetry in translation for one of these generalized coordinates that are not time gives you conservation in linear momentum. Isn’t that amazing? Just how symmetry and conservation are beautifully tied together in this expression.
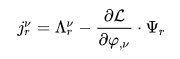
SIDENOTE: I forgot to mention, but the r stands for the index of the symmetry transformation in a system with N symmetries. For time translation there is only one symmetry, so N equals to 1, but that may not always be the case. And this version I wrote is not general, but again, I am already glossing over a lot of details. Below you can see the same expression, generalized for fields.

If I had introduced the EL equations before, we could look at this into more detail, but you can see this as an introduction to Conservation and Symmetry in Physics. I would like to revisit this topic at a later time, to give a proper development to the build-up in this theorem and to show how we can derive some conserved quantities, basing on symmetries in the system. For now, I just want to leave with the message that Noether’s theorem allowed for most of modern physics to exist and evolve into what it is today. And with this, I wish you all a happy new year.
References:
Wikipedia articles for initial references:
More serious references if you want
- Invariant Variation Problems, Noether E, 1918 (Translated version 1971 – Sauce ArXiv)
- Classical Mechanics, Goldstein H (if you want to look at Noether’s theorem and all other the other concepts I talked about in great detail, this is a good place to start).

One thought on “Noether, Noether, where art thou?”